首 页
走进自力
新闻公告
产品介绍
成功案例
技术与研究
联系我们
搜索
热线:0813-6280463
Menu
搜索
热线:0813-6280463
首 页
走进自力
新闻公告
产品介绍
成功案例
技术与研究
联系我们
新闻公告
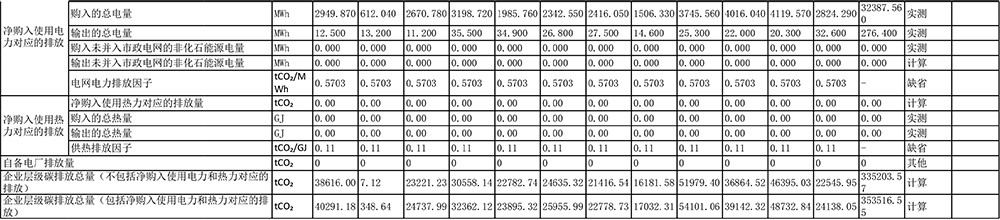
2022年度温室气体排放报告
来源:未知 时间:2024-01-26 14:52 浏览次数:次
上一篇:
2023年12月份烟气排放公示
下一篇:
2023年年度排污许可证执行报告